mobile28365

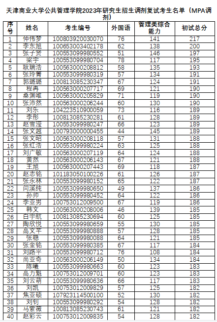
mobile283652023年研究生招生调剂复试考生名单(MPA调剂)

来源:mobile28365 时间:2023-04-06 点击数:


Copyright © mobile28365 版权所有  |  地址:天津市北辰区光荣道409号 mobile28365  | 电话: 022026667609  | 邮编:300134